|
|
|
浙江吴文忠遭拦 陈巧凤被刑拘 |
|
| 作者:民生编辑1 文章来源:本站原创 更新时间:2019-11-01 06:53 |
| |
【民生观察2019年11月1日消息】本网获悉,2019年10月29日,浙江义乌市维权人吴文忠,从广州坐车到北京西站下车后,突然被十几个人非法拦截,目前被控制在北京鼓楼西大街宾馆里。另外,同是义乌访民的陈巧凤被以涉嫌妨害公务罪刑拘,至今还在羁押中。
据悉,吴文忠是浙江省义乌市北苑街道前洪村村民,其祖父吴溶细曾是义乌县第二任县委书记,也是该县第一个革命烈士,其祖父的遗骨埋在义乌县革命烈士纪念馆之中却被政府无故毁灭,在1987年当地部门还将他祖父的县委书记身份改为县委委员,为此吴文忠走上了上访维权之路。期间,屡遭打压迫害。在上访期间,吴文忠结识了同是义乌访民的陈巧凤。
陈巧凤因家中房屋被稠江街道强制拆除,经义乌市法院行政复议确认稠江街道的强拆行为属于违法,但是稠江街道书记江泽阳却公然宣称,他只会拆不会赔偿。因陈巧凤的问题在当地得不到解决,她只好前往北京反映义乌市政府的不作为行为。
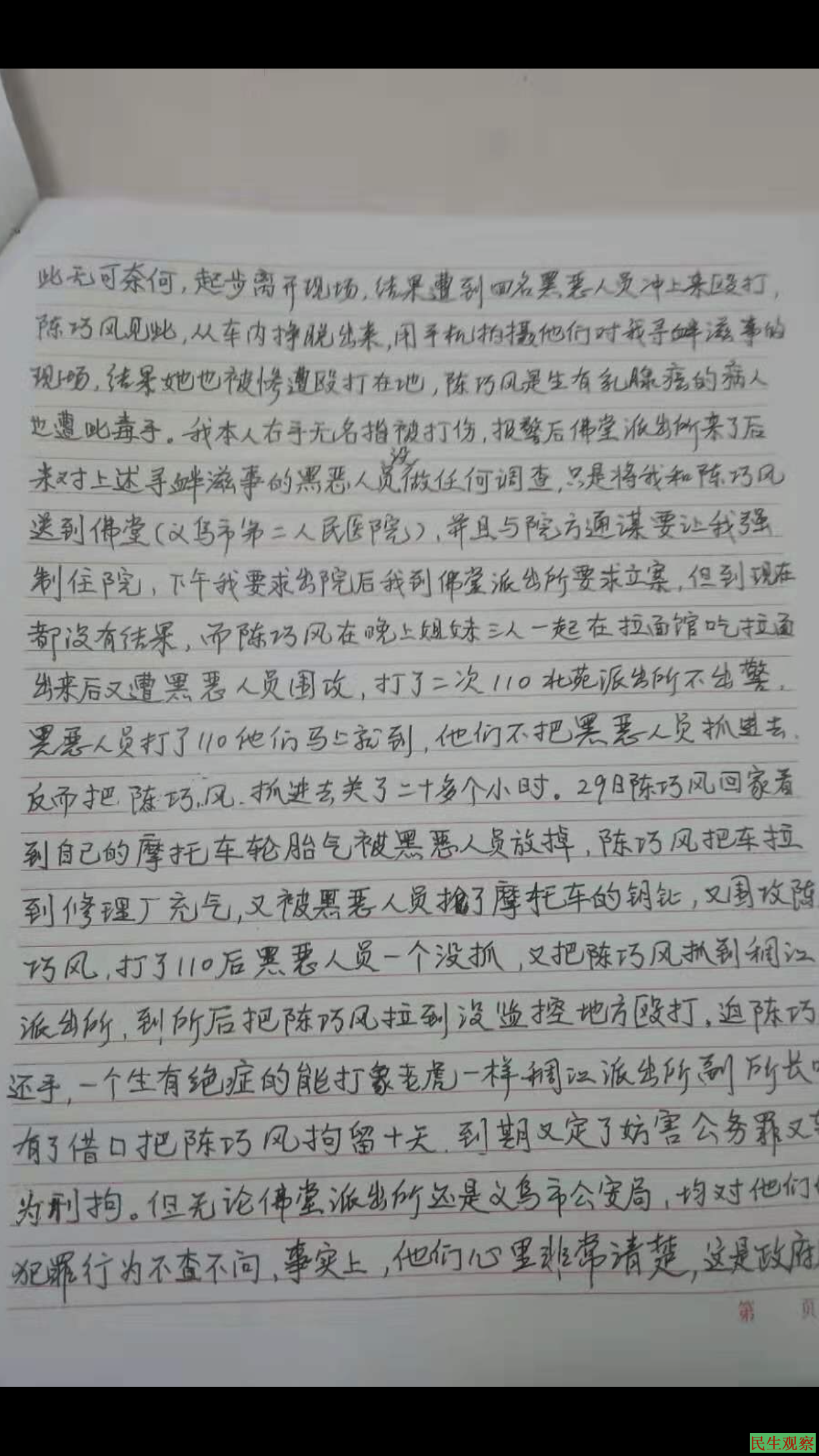
据访友讲述,2019年9月26日,吴文忠和陈巧凤一起到佛堂镇的亲戚家玩。第二天早上7点50分左右,在佛堂镇湖山村老街吃早餐时,遭到了义乌市稠江街道雇佣的黑恶人员跟踪和绑架。陈巧凤首先被黑社会人员绑架上车,吴文忠见此情景也无可奈何,准备起身离开,结果遭到四名黑恶人员冲上来殴打,陈巧凤见状,从车内挣扎出来,用手机拍摄他们的暴行,结果陈巧凤也被殴打在地,陈巧凤是一个乳腺癌患者,也遭此毒手。吴文忠右手无名指被打伤,报警后,佛堂派出所出警警察却对打人者不做任何调查,只是将被打两人送到义乌市第二人民医院,并且给院方交代要让两人强制住院。下午,吴文忠要求出院后,来到佛堂派出所要求立案,但至今都没有任何结果。
当天晚上,陈巧凤姐妹三人一起在拉面馆吃拉面出来后,又遭黑恶人员围攻,之后打了两次110,北苑派出所不出警,而黑恶人员打了110,警察马上就到了,警察出警后不但不把打人者抓进去,反而把陈巧凤抓进派出所关了二十多个小时。获释后,陈巧凤依然被非法限制人身自由,住所附近每天都有人监视蹲守。
9月29日,陈巧凤回到家后看到自己的摩托车轮胎气被人放掉,怀疑是看守她的人员所为,但又没有证据,随后准备把车拉到修理厂充气,却被看守她的人员抢走摩托车钥匙,陈巧凤再次遭到围攻。打了110后,警察对打人者一个都没抓,却把陈巧凤抓到稠江派出所,到所后把她拉到没有监控的地方殴打,并逼迫她还手。随后派出所以陈巧凤打人为由,对其行政拘留10天,拘留期满后,于10月10日又以陈巧凤涉嫌妨害公务罪,将其刑事拘留,之后羁押在义乌市看守所至今。
这位访民朋友还说,10月29日他收到吴文忠发来的消息,称自己从广州坐车去北京,在到达北京西站下车后,突然遭到十几个人的非法拦截,随后被强制带走,现在被关押在北京鼓楼西大街宾馆里。希望媒体和朋友们关注!
吴文忠电话:13957953816




(责任编辑:民生编辑)
|
|
|
|
|
|
|
|
|
|